Dreiecke

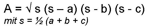
Das manuelle Aufmaß mittels Dreiecken ist im einfachsten Fall mittels Bandmaß durchführbar und bedarf keinerlei weiterer technischer Geräte. Ausgehend von 2 bekannten Punkten (Kante) wird ein weiterer Punkt durch zwei Strecken eingemessen. Der Schnittpunkt dieser Strecken ergibt die genaue Lage. Das tachymetrische Aufmaß mittels optischen oder elektrooptischen Geräten gehört zweifelsohne zu den schnellsten und daher beliebtesten Aufmaßarten. Die ermittelten Punkte können nicht nur nach Gauß-Elling berechnet, sondern auch mit dafür spezialisierten Programmen zu mehr oder weniger komplexen Dreiecksnetzen trianguliert werden. Aus den ermittelten Längen der Dreiecksseiten kann dann die Fläche der Dreiecke mit Hilfe der Heronschen Formel anschaulich berechnet werden.

Für die Längenberechnung werden die Koordinaten der Dreiecksseiten herangezogen, welche die benötigte Kontur bilden. Die Länge einer Dreiecksseite lässt sich dann mit dem Satz des Pythagoras (Euklidischer Abstand) berechnen. Liegen zwei Punkte in einer Ebene ergibt sich deren Abstand als:

Die Abstände zwischen mehreren Punkten (Dreiecksseiten) werden dann fortlaufend aufaddiert.
|
Anmerkung: Bei der Längenberechnung eines Dreiecksnetzes wird stets die äußere Kontur und falls vorhanden und gewünscht auch die inneren Konturen verwendet. |